Bayes Discriminant Rule


The rule to minimize the error rate by maximizing the posterior probability is the same for the discrete and continuous case. The only difference is that probabilities are used instead of probability densities. The following discriminant functions are equivalent decision rules:


discrim.gif

discrim1.gif

 discrim2.gif


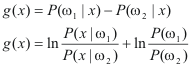
The 2-Category Case

This is a classifier that places a pattern in one of two possible categories and is called a dichotomizer. Since we have 2 categories, we will have 2 discriminant function g1(x) and g2(x). As before, we would assign x to w1 if g1(x) > g2(x). Instead, we can define:

G(x)≡g1(x)-g2(x)

and decide w1 if g(x)>0. Two forms of the dIscriminant function are therefore:

discrim3.gif




[Previous] - Risk Function
Independent Binary Features - [Next]
Print This Page